Code of series of periods

Viewing 10 posts - 16 through 25 (of 25 total)
  • Author
    Posts
  • #104155 quote
    robertogozzi
    Moderator
    Master

    All’s well that ends well! 🙂

    #104157 quote
    GraHal
    Participant
    Master

    All’s well that ends well!

    Maybe not … @maximus78 may have used Roberto code (thinking it was correct / what he needed) and has blown his account … never to be seen again!

    Only teasing! 🙂

    #104158 quote
    robertogozzi
    Moderator
    Master

    Yes, but he can refund it and win this time! 🙂

    #104159 quote
    robertogozzi
    Moderator
    Master

    I know reviving old topics may be dangerous, but keeping an error running is more dangerous!

    #104168 quote
    maximus78
    Participant
    Senior

    Hello guys, I remember I have verified the code line of Roberto and it was right.

    Now I have verified again in this way and as you can see the results are exactly the same.

    I did an indicator called Maximus with the code of my request:

    a=close>close[1] and  close>close[2] and close>close[3] and close>close[4] and close>close[5]
    
    if a then
    result=1
    else
    result=0
    endif
    
    return result

    Then i did another indicator called Roberto with his code:

    IF close > highest[5](close[1]) THEN
    result=1
    else
    result=0
    endif
    
    return result

    Comparing the results of the binary indicators you see they gives the same results.

    Max

    test.png test.png
    #104173 quote
    Vonasi
    Moderator
    Master

    …and the final test. All three in one indicator and output compared. They all do the same thing.

    //maximus
    a=close>close[1] and  close>close[2] and close>close[3] and close>close[4] and close>close[5]
    
    if a then
    result=1
    else
    result=0
    endif
    
    //roberto
    IF close > highest[5](close[1]) THEN
    result2=1
    else
    result2=0
    endif
    
    //vonasi
    x = 5
    count = 0
    for i = 1 to x
    if close > close[i] then
    count = count + 1
    endif
    next
     
    result3 = 0
    if count = x then
    result3 = 1
    endif
    
    //final check
    result4 = result + result2 + result3
    
    flag = 0
    if result4 <> 0 and result4 <> 3 then
    flag = 1
    endif
    
    return flag
    #104183 quote
    GraHal
    Participant
    Master

    HAHAHAHA … and all that sleep you lost / nightmares Vonasi! 🙂

    Just shows … more than one way to splice the mainbrace eh!

    #104185 quote
    Vonasi
    Moderator
    Master

    more than one way to splice the mainbrace eh!

    …or more than one way to skin a cat….. or more than one way to trip over it in Roberto’s case! 🙂

    #104186 quote
    robertogozzi
    Moderator
    Master

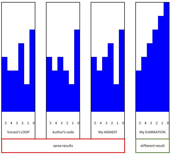
    Yes, the first 3 snippets yield the same results, but not my 4th one (summation).

    So this one is the incorrect one.

    x-1.jpg x-1.jpg
    #104192 quote
    Vonasi
    Moderator
    Master

    but not my 4th one (summation).

    Thank God one of us has finally confirmed that we were wrong – even if it was only 50% wrong! 🙂

Viewing 10 posts - 16 through 25 (of 25 total)
  • You must be logged in to reply to this topic.

Code of series of periods


ProBuilder: Indicators & Custom Tools

New Reply
Author
author-avatar
maximus78 @maximus78 Participant
Summary

This topic contains 24 replies,
has 5 voices, and was last updated by Vonasi
6 years, 7 months ago.

Topic Details
Forum: ProBuilder: Indicators & Custom Tools
Language: English
Started: 07/06/2018
Status: Active
Attachments: 3 files
Logo Logo
Loading...